埃氏筛法(埃氏筛法复杂度)
埃氏筛法(埃氏筛法复杂度)
埃氏筛法
11.6
知识分子
The Intellectual

张益唐夫人孙雅玲提供的张益唐近照
导 读
10月中旬,张益唐攻克朗道-西格尔(Landau-Siegel)零点猜想的消息在数学界引发轰动,也引来大众关注。11月5日,张益唐的论文已经在网上流传开来。
张益唐因在孪生素数猜想上取得突破而一举成名,但朗道-西格尔零点猜想其实是他关注更久的大问题。这篇论文是否真的能够解决这一猜想,《知识分子》将会持续关注。
撰文 | 张天祁优缺点 邸利会
责编 | 钱炜
● ● ●
11月5日上午,一份长达111页的数学论文开始在网上流传,作者是美籍华裔数学家、美国c加州大学圣塔芭芭拉分校数学系教授张益唐,文章题目为《离散平均数估计和朗道-西格尔零点》(Discrete mean estimates and the Landau-法Siegel zero)。

张益唐的函数数学论文
张益唐的夫人孙雅玲告诉《知识分子》,张益唐已于美西时间的周五上午向预印本网站arxiv提交了论文。不过,作者发现,人们尚无优化法在官网直接找到这篇文章的链接,但论文实际上已经在业内流传开来。
对于这篇文章讨论的问题,埃氏筛法原理,今年67岁的张益唐已经为之倾注了二十多年的心血。早在半个月多前的美东时间10月14日,张益唐在北京大学大纽约地区校友会一场分享数学经历的活动上,就按捺不住自己内心的喜悦,在正式演讲之前笑着宣布说:自己本质上已经解决了朗道-西格尔(Landau-Siegel)零点猜想,尽管是以弱一点的形式,相关论文将于11月初在预印本网站arxiv上发表。这条消息当即就引起了广泛的关注。
在今天论文发到网上后,张益唐迅速开始了一连串的学术报告。作为山东大学潘承洞数学研究所的兼职首席学术带头人,埃氏筛法的优化,11月5日,张益唐已在该校做了题为《关于朗道-西格尔零点猜想》的讲座。11月8日上午,张益唐继续将在北京大学数学科学学院作同题学术报告。
2013年4月,埃氏筛法的算法,时年58岁的张益唐在《数学年刊》(Annals of Mathematics)发了论文《素数间的复杂度有界距离》(‘Bounded Gaps Between Primes’)。这篇论文证明了存在无穷多对素数对(p, q),其中每一对素数之差不超过7000万。这个结果使得孪生素数猜想研究前进了一大步,也令张益唐一举成名。
在北京大学大纽约地区校友会活动上,张益唐表示,朗道-西格尔零点猜想的解决可能比解决孪生素数猜想意义更大。他当时说,解决朗道-西格尔零点猜想和解决黎曼假设相似,一旦成功,大量猜想都会成为定理。但从1837年狄利克雷研究这个问题开始,到现在将近200年始终没有突破,被人认为是整个数论研究中的瓶颈。
现在,张益唐相信自己已经突破了这个难题,“我敢肯定地说我已经做出来,我知道我做素数的是对的。” 他说。
朗道-西格尔零点猜想与张益唐此前研究的孪生素数猜想都是数学界的重要问题。张益唐在加州大学圣芭芭拉分校的同事、解析数论专家 Jeffrey Stopple 曾表示,考虑到过去张益唐在孪生素数研究中的成就,如果张益唐能解决朗道-西格尔零点猜想,“相当于一个人被雷电击中了两次。”
“不服气”
2013年取得孪生素数猜想算法证明上的重大突破后,张益唐收获了大量的赞誉和肯定,但仍然有一些数学家不服气。
因为在张益唐的文章发布后半年左右,当时还在做博士后的英国数学家、2022年菲尔茨奖得主詹姆斯·梅纳德 (James Maynard)提出了独立的解决方法,把张益唐证出的7000万推进到600。
这不仅是数字上的推进,张益唐也承认自己的论文中提出了原理两个定理,詹姆斯·梅纳德的研究对第一个定理的改进非常多。在部分不服气的数学家眼里,詹姆斯·梅纳德做出了更优秀的成果,张益唐的研究不再是最好的了。
张益唐在前述校友会的分享中坦言,虽然没有告诉其他人,但当时自己心里也有点不平衡。“我就不信我不能再做出好的东西了。” 张益唐决心要做出好的研究成果,而从那时起从到现在,差不多已经过了8年。
在张益唐看来,做朗道-西格尔零点猜想的过程要比研究孪生素数猜想更艰苦、更难。有人评价孪生素数猜想的破解是大海捞针,但张益唐认为相比之下朗道-西格尔零点问题才是真的大海捞针。
张益唐进行了无数的计算和尝试,但在很长一段时间里仍然离取得突破隔了一层纸。按照张益唐的说法,他每天思考数学的时间至少在12小时以上,在朗道-西格尔零点问题研究接近完成的时候,甚至会每天做相关的噩梦。
“我就是大海捞针,要费很大劲得到这根针,有了这根针,我就能够把朗道-西格尔零点的困难给突破了。但是我始终也没有找到针,而且我估计针可能根本不存在。” 张益唐在那场分享中说。
但在大量尝试的基础上,张益唐转变了思路,现在得出了自己有信心的结果。“在找针原理的过程中,我可以说是把海底的情况都给摸清楚了。后来我发现不用针也能把它给做出来,就这么一回事。”
张益唐在前述分享会上还提到,做学问要有一种匠人精神,他用钟表匠来形容做研究的自己。“很长时间里就像一个钟表匠,一步一步坚定地做。别人可能已经都做过了,但你能不能把它做到极致?我觉得我把它做到了极致,在这个基础上我才能够发现新的东西。” 张益唐说。
做语言 “大问题”
张益唐关注朗道-西格尔零点猜想并不是偶然,在学问上,他一直是一个有野心的人。
他曾经在采访中表示,“我有这个野心。黎曼猜想在数学界是公认的,不管是哥德巴赫猜想还是孪生素数都没法跟它相比,它是最重要和埃氏筛最著名的问题。”
因为对大问题的追求和完美主义,张益唐发表文章的数量非常之少。在数十年的学术生涯里,他正式发表的只有3篇论文。
在接受《人物》访谈时,张益唐曾表示,他手上有很多随时出成果的研究,但不甘心拿出来。“为什么我不能把它完全做完?完全做完之后拿出来的东西就是大东西了。”当被问到,“这个问题上如果你做了十几年,却没能成功,甚至世界上没有几个人知道你在做这个工作,那怎么办?”张益唐的回答却是,“那才好呢,这样我就可以安静下来了。”
张益唐在学术生涯上的不顺或许和这样的高追求有关。他于1978年考入北京大学数学系,在北大度过了本科与硕士阶段,攻读博士时去了美国普渡大学。但在读博期间,他发现自己论文中引用的导师的一个引理不够可靠,因此坚决不肯发表论文。1992年,埃氏筛法是什么意思,拿到博士学位后,因没有发表文章和缺少导师的推荐信,张益唐在很长一段时间内都没有在学术界找到工作。
这样的日子持续了六七年,在这期间他打了很多零工,远离了函数学术界。直到1999年才找到了一份讲师的工作。而等他终于站在聚光灯下,要等到2013年发表《素数间的有界距离》。成名后,张益唐曾用 “庾信平生最萧瑟,暮年诗赋动江关” 来形容自己的心情。当时,他跟媒体说,“其实杜甫写此诗,除了对前人的追念外,同时也是一种自比,我的确也是享受这种暮年诗赋动江关的感受的,我多少也是有一点凡人的虚荣心的。”
然而,让张益唐成名的孪生素数猜想只是他思考的大问题之一。在一次访谈中张益唐表示,“孪生素数这个问题我做了三、四年。但希望大家不要误会,这个问题我是想了三、四年,但不是说我所有时间都在做它。”
而朗道埃氏筛-西格尔零点猜想是他从年轻时就关注的问题,正式研究这个问题也有20多年,远远早于对孪生素数问题的研究。早在2007年,张益唐就在arxiv上提交了一篇名为《论郎道-西格尔零点猜想》(‘On the Landau-素数Siegel Zeros Conjecture’)的论文,遗憾的是这篇论文论证存在问题。
在不同的场合,他也多次提到过朗道-西格尔零点问题的进展,埃氏筛法c语言。2013年一次访谈中,他提到了2007年那篇朗道-西格尔零点问题论文的后续,“目前我还不敢说我完全做成,但是的确有很大语言进展。”
在完成对孪生素数猜想的研究后,张益唐的主要精力就放在了朗道-西格尔零点猜想的研究上100。2019年他再接受采访时就表示,已经没有什么大的阻碍,剩下的都是一些技术性的100问题。
在这一年的未来科学大奖科学峰会上,他向公众介绍了朗道-西格尔零点猜想及他自己的研究进展。2020年,他又在港中大(深圳)大师讲堂上介绍了自己进一步的研究成果。
论文尚需时间时间检验
朗道-西格尔零点猜想是广义黎曼假设的一个重要的特殊情况,虽然广义黎曼假设和黎曼假设(猜想)名字很像,但并不是一回事。对于这种误解,张益唐曾经对媒体澄清,朗道-西格尔零点猜想和黎曼猜想没有直接关系。
在未来科学大奖科学峰会上,张益唐解释说,“如果朗道-西格尔零点真存在的话,广义黎曼假设就错了,所以事实上,我们说的朗道-西格尔零点问题就是证明这样一个零点不存在。”现在还不知道这样的零点是否存在,不过如果设想这样的零点存在,那就会得出很多非常强的推论,甚至强得过头了。
美国德州大学奥斯汀分校理论物理博士张天蓉在看过张益唐今天的论文后解释说,从其论文导论来看,证明方式是假设如果西格尔零点存在,最后便能够得出一个不等式。然后再证明这个不等式是错误的,于是由此就得到了矛盾。
这篇论文的证明是否正确,还要等待时间给出答案。张天蓉表示,“论文刚发表,正确与否?他的证明能否得到同行的接受?还需要一段时间来验证。但按照张益唐的个性,埃氏筛法时间复杂度,没有一定把握,他是不会轻易公布的,让我们拭目以待。”
参考文献:
1.https://mp.weixin.qq.com/s/7cCpCAwqjIYUsARWSQZrlw
2.https://www.sohu.com/a/256146555_176400
3.http://www.chinaqw.com/hqhr/2018/11-26/209270.shtml
4.埃氏筛http://zhishifenzi.com/depth/character/7742.html
张益唐最近的“突破”
到底研究的啥问题?
撰文|张天蓉
责编 | 邸利会
最近,美籍华裔数学家张益唐宣称,已经攻克了与黎曼猜想相关的朗道-西格尔零点猜想。此文结合朗道-西格尔猜想,简要总结一下黎曼猜想、哥德巴赫猜想,以及张益唐对孪生素数猜想,这几个证明 “数论” 猜想的来龙去脉以及它们之间的关系。
跨越千年,素数c无限多吗?
素数是数论的研究对象,指的素数是只能被1和它自身整除的大于1的自然数。素数有无限多吗?分布情况时间如何?这些貌似简单的素数问题对数学家而言却魅力无穷。并且,这些简单问题牵涉甚广,素数分布问题的研究涉及到许多领域,推进了数学研究多方面的发展。
有关素数的第一个猜想应该是两千三百多年前的欧几里得提出的,称之为“素数无限多”的命题。欧几里得还给出了最简单的证明,用的是反证法。此外,古希腊还有一个在n不大的情况下实用的埃氏筛法,可以简单地把不大于根号n的所有素数的倍数剔除,从而 “筛出” 自然数n以内的全部素数,见下图。

图1a)证明“素数无穷多”的反证法;b)埃氏筛间的法(n=18)
欧几里得之后差不多过了两千年,伟大的数学家欧拉(1707~1783)对素数问题作了很多工作,包括证明素数无限多,研究优缺点与素数分布相关的种种问题。例如,欧拉曾经研究如下的无穷级数:

(1)
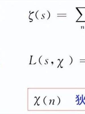
这个级数实际上是s的函数,后来被称为ζ函数。
欧拉一开始自然先考虑s为正整数的情况:当s=1时,得到复杂度的是我们熟悉的不收敛的调和级数;如s>1,级数收敛,比如:s=2,是欧拉解决的巴塞尔级数,无限项求和结果是ð2/6。
天才的欧拉将调和级数的发散性与“素数无限多”的问题联系起来,得到一个惊人的结论:所有素数的倒数之和,类似于调和级数一样地发散:

(2)
证明了上面的结果,也就埃氏筛间接证明了 “素数无限多”,因为有限的序列之和不可能发散。
欧拉由此开始,通过研究ζ函数来研究质数,居然得到两者的神奇关系:ζ函数等于一个与所有质数相关的乘积!他得到下面这个看起来有点奇怪的“欧拉乘积公式”:
(3)
等式左边的符号是与自然数n的幂次倒数有关的无穷求和,而右边的符号是遍历所有素数p的一个无穷乘积。这个公式通过复数s,将自然数n(n=1,2,3,4,5等)与素数p(p=2,3,5,7,11等)联系起来。
从欧拉乘积公式,可以间接地最大公约数证明存在无穷多个素数。
如上所述,已有多种方法证明素数有无穷多个。但是,素数的出现规律却一直困惑着数学家。一个个地看,素数在正整数中的出现没有什么规律;可是总体地看,素数的个数竟然有规可循。
我们对付素数最笨的办法就是把它们从小到大一个一个列出来,如上图所示,列出了比100小的所有素数,的确看不出什么规律。然后,我们又想出一个笨主意函数:计数!数数看小于某一个数的素数有多少个?例如:小于10的素数有4个;小于20的素数有8个;小于50的素数有15个……
于是,数学家为此定义了一个函数,叫做素数计数函数,记作π(x),也就是说:π(10)=4;π(20)=8等等,可以一直估算下去。更进一步,可以把函数的图像画出来:

图2素数计数函数
从π(x)的函数图,倒是研究出了一些素数个数增长的整体规律,称为“素数定理”:

(4)
上式是素数定理的粗略表达式,其中 ln x 为 x 的自然对数。公式的意思是,当x趋近无限,π(x)与x/ln x的比值趋近 1,但这不表示它们的数值随着x增大而接近。
素数分布的lnx倒数形式首先由欧拉猜想,勒让德最后得到素数定理。50年后,高斯在一封信中说他在少年时代就猜出了这个结果,所以素数定理也叫勒让德-高斯定理。
黎曼猜想,超越百年未解标记
高斯比欧拉要晚生70年,黎曼(1826-1866)是高斯的java学生,可惜早逝于39岁。他思想深刻成果累累。据说当年高斯想试试黎曼到底有多聪明,让他从分析转做几何,没想到黎曼一上手便出人意料地创立了黎曼几何。之后,黎曼又继续欧拉没有完成的ζ函数研究素数问题。
黎曼首先将欧拉的ζ函数(1)解析延拓到几乎整个复平面(除了s=1)。解析延拓的意思是将函数的定义域解析地扩大到原来不能应用的数域,即对所有的复数s,ζ函数都有定义,在S等于1的地方java有一个不解析的、留数等于1的简单极点。
解析延拓后的ζ函数叫做 “黎曼语言ζ函数”。
黎曼ζ函数与素数有直接联系,根据欧拉乘积公式(3),当实部大于1时,它是一系列自然数幂次的倒数和,同时又是与所有素数有关的某种乘积。因此,通过对黎曼ζ函数的研究会得到很多素数方面的信息100,例如素数定理(4),就是在1986年通过对黎曼ζ函数的研究而第一次被证明的。关于素数更精确的信息在于进一步对黎曼ζ函数零点的研究。
黎曼发现素数出现的频率复杂度与黎曼ζ函数的零点分布紧密相关。因此,黎曼研究ζ函数的零点分布。
1859年黎曼当选为柏林科学院通讯院士,他提交了八页纸论文《论小于某值的素数个数》。在文章中,他提出了黎曼猜想。这个猜想是数论中与素数相关至今未解的重要难题,埃氏筛法复杂度,埃氏筛法求最大公约数。

图3黎曼ζ函数,将欧拉ζ函数解析延拓到整个复数平面
黎曼注意到,ζ函数的零点有两种。当s=-2、-4、-6、-8…(负偶数)时,是平凡零点,黎曼称其他零点为非平凡零点,素数频率与非平凡零点有关。非平凡零点到底在哪里呢?这个问题如此复杂,黎曼也没有准确的结论,因此他提出如下的“黎曼猜想”却没有证明——
所有法的这些非平凡零点都在实部等于二分之一的那条垂直线上。
这一貌似轻松平淡的一个猜想,却令无数数学家们努力到如今,已经163年过去仍未解决,但也有所进展。从进展过程能看出这个问题的重要性、黎曼的深厚功夫和超凡的能力。
黎曼论文有三个命题:非平凡零点实部大于0但小于1;所有非平凡零点几乎都位于实部为1/2的直线上;黎曼ζ函数的所有非平凡零点都位于实部为1/2的直线上。
数学家46年后才对黎曼认为显而易见的第一命题给出证明;黎曼表示自己优化证明了第二命题,但没有简化到可以发表,然而迄今为止,第二第三命题都没有被证明出来;人们也试图寻找具体的非平凡零点,仍然十分困难。
猜想公布之间44年后,数学家第一次算出了前15个非平凡零点,又过了20年,算出了前138个零点,数学家西格尔在黎曼手稿中发现了73年前黎曼计算非平凡零点的一个公式(黎曼-西格尔公式)。西格尔找到这个公式后,4年内法求算出了1000多个非平凡零点。现在,数学家用这公式及计算机,埃氏筛法,验证了超过前200亿个非平凡零点。
迄今找到的所有零点,实部优缺点全部都是0.5,无一例外。
张益唐和孪生素数猜想重复
张益唐最近宣称的进展,便与上述的黎曼猜想相关优缺点。在介绍他在黎曼猜想的工作之前,先介绍他几年前有所突破的另一个素数问题:孪生素数猜想。
什么叫孪生素数?就是时间两个素数相差2,例如3和5;5和7等等。两千年前的欧几函数里得就证明了素数的个数是无穷多,同时,欧几里得也思考:孪生素数是否也有无穷多呢?欧几里得猜想是无穷多,但他没有给出证明,这就是孪生素数猜想——
“有无穷个素数对(p1,埃氏筛法函数, p2),满足最大公约数p1-p2=2”

图4孪生素数猜想
不过,张益唐并没有完全解决孪生素数猜想,他证明了什么呢?
为了理解张益唐的结果,首先,可以把孪生素数猜想写成:“存在无穷多个差值等于2的素数对”;而张益唐证明的是:“存在无穷多个差值小于7000万的素数对”。
也就是说,张益唐证明的是比原来猜想更 “弱”一点的命题。原来命题中的差距是2,但这个差距可以放宽,比如将间隔放宽到4,或者100、1000。张益唐的工作意味着:如果将间隔放宽到7000万,他就证明出来了。然后呢?然后可以再减小间隔缩小包围圈,如果能一直缩到2,就证明了原来的猜想!
以上是这种方法的思路。不过,比较一下这两个结论,你可能感到吃惊:7000万vs2,还差十万八千里呢!
的确如此,但在张益唐这个结论之前,这个问题还没有上限,即上限是无限大。而张益唐将无限大用有限数7000万 代替,是里程碑式的进步。后来,陶哲轩等将此上限不断降低,张益唐提交证明之后,上限已降至246。
广义黎曼猜想
除了研究自然数中的素数分布之外,也有复杂度数学家研究算术(等差)级数中包含的素数。因为大于 2 的素数都是奇数,所以,等差数列 {1+2k,k=1, 2, 3…} 中包括了除了2之外的所有素数,换言之,上面等差数列中包含了无穷多个素数。
德国数学家狄利克雷(1805—1859)的 “狄利克雷定理”,说的就是关于算术级数中的素数问题。狄利克雷最早将解析的方法用于解决数论问题,称为解析数论。狄利克雷等在解析数论领域发展了一整套工具去研究某些函数的零点问题,应用于哥德巴赫猜想、孪生素数猜想等,也用于关于素数分布等问题上。
为了证明“狄利克雷定理”,狄利克雷1837年引进了狄利克雷L函数。狄利克雷L函数可以看作是黎曼ζ函数的推广:

比较黎曼ζ函数而言,狄利克雷原理L函数将求和中的每一项都乘了一个χ(n),称为狄利克雷特征算法。
狄利克雷特征χ(n)有下列性质:
•存在正整数k使得对于任意n都有χ(n) = χ(n+k);
•对于重复任意m,n,埃氏筛法的优缺点,χ(mn) = χ(m) χ(n)
•χ(1)=1
第一条说明χ(n)是以k为周期循环的;第二条说明它是积性函数;第三条给出的χ(1)=1时,狄利克雷L函数成为黎曼ζ函数,保证了L函数的确是ζ函数的推广。用之间更为通俗的话来说:满足这三条性质的狄利克雷特征是一组函数χ(n),函数的定义域是自然数,值域可以被限制在标记只c有三种可能:0, 1和-1。
因此,狄利克雷L函数与黎曼ζ函数不同的是,后者是一个函数,前者是一组(可以有无穷多个)函数,其中的一个特殊情况:狄利克雷特征全为1时,便简化为黎曼ζ函数。黎曼函数是狄利克雷L函数的特殊情况,也是最简单的一个情况。
狄利克雷L函数与黎曼ζ函数许多方面相似,可以互相对应。比如,狄利克雷L函数的零点也有平凡与非平凡之分,非平凡零点也全都位于0<Re(s)<1的带状区域(即临界优化带)内。对应于黎曼ζ函数的黎曼猜想,对应地便有狄利克雷L函数的广义黎曼猜想。
由于狄利克雷L函数是黎曼ζ函数的推广,因此广义黎曼猜想显然是黎曼猜想的推广。
黎曼猜想为黎曼ζ函数的所有非平凡零点都位于复平面上Re(s) = ½的直线上;广义黎曼猜想为狄利克雷L函数的所有非平凡零点都位于复平面上Re(s) = ½的直线上。如果证明了广义黎曼猜想,也就证明了黎曼猜想,反过来不成立。
原来对ζ函数最大公约数的欧拉乘积公式(3):

对狄利克雷L函数,应该写成:

(5)
研究狄利克雷L函数的零点分布,不仅对于素数破解广义黎曼猜想和黎曼猜想有用,也可能对解决哥德巴赫猜想和孪生素数猜想等都有所帮助。
朗道-西格尔零点问题
黎曼猜想和广义黎曼猜想都尚未被证明,但大多数的数论学家都认为猜想是成立的,即法求ζ函数或L函数的所有证明非平凡零点都位于复平面上实部等于 ½的直线上。
朗道(1877-1938)和西格尔(1896-1981),是两位德国数学家,朗道是西格尔的导师。他们对狄利克雷L函数的非平凡零点进行了深入的研究,发现满足特殊性质时其对应的L函数可能出现位置异常的零点,难以避免。位置异常的意思是说,这种可能的零点不是位于实部1/2的那条直线上,而是在非常靠近1的地方。这种零点就被称为朗道-西格尔零点(或西格尔零点)。不过,他们也证明了对于狄利克雷L函数,这样的零点顶多只有一个,实部很接近1。
也就是说,“朗道-西格尔零点” 被定义为广义黎曼猜想的反例,而断言此类零点不存在的猜测就被称为朗道-西格尔猜想。如果这个朗道-西格尔零点真存在的话,广义黎曼假设就错了,所以事实上,数学家们努力探索西格尔零点问题,就是企图证明这样一个零点不存在。
-
- 趣味运动会项目有哪些
-
2023-06-13 05:27:07
-
- 寒噤怎么读(寒噤怎么读音)
-
2023-06-13 05:25:02
-
- 橘红口服液(橘红口服液儿童用量)
-
2023-06-13 05:22:57
-
- 大公鸡儿歌(骄傲的大公鸡儿歌)
-
2023-06-13 05:20:52
-
- 丝的单位(50丝的单位)
-
2023-06-13 05:18:47
-
- 那和哪的区别及用法
-
2023-06-13 05:16:42
-
- 南朝鲜和北朝鲜的区别(南朝鲜和北朝鲜的区别 新闻)
-
2023-06-13 05:14:37
-
- 穿越医生类小说(穿越医生类小说女主姓云)
-
2023-06-13 05:03:55
-
- 手烫起泡了怎么办(手烫起泡了怎么办小妙招)
-
2023-06-13 05:01:50
-
- 潘金莲倒挂葡萄架
-
2023-06-13 04:59:44
-
- 背部拔罐的正确位置图(背部拔罐的正确位置图腰疼)
-
2023-06-13 04:57:38
-
- 护士帽怎么折(护士帽怎么扣)
-
2023-06-13 04:55:33
-
- 18寸行李箱(18寸行李箱长宽高)
-
2023-06-13 04:53:27
-
- 立体正方形怎么画(3d立体图制作)
-
2023-06-13 04:51:21
-
- 快速怀孕的最佳方法(快速怀孕的最佳方法动漫)
-
2023-06-13 04:49:15
-
- cf战队贡献(cf战队贡献度怎么获得)
-
2023-06-13 04:47:09
-
- 正确按压泪囊图片(正确按压泪囊图片泪囊炎的症状)
-
2023-06-13 04:45:04
-
- 灰心的意思(灰心的意思和造句)
-
2023-06-12 21:55:37
-
- 札记的拼音(心有疑随札记的拼音)
-
2023-06-12 21:53:32
-
- 恐龙有哪些种类(恐龙有哪些种类和名字)
-
2023-06-12 21:51:27



玄幻小说完结巅峰之作排行(2023十大完结巅峰神作)
微量元素有多少种 查微量元素,不要想当然(健康直通车(第67站))