初中数学二次根式必考(二次根式考点梳理)
初中数学二次根式必考(二次根式考点梳理)

前言:为迎接2019年中考,特把初中数学的知识进行梳理,做成了一份很实用的资料,基本囊括了中考所有必考考点,其中有基础知识,也有拔高训练,从前到后、由易到难,希望对学生有所帮助.
此系列前两篇是:《实数相关考点及试题》与《代数式及其求值》,这是第六篇,主要学习二次根式的相关知识.
【考点1】二次根式及其性质
1、概念:一般地,我们把形如√a(a≥0)的式子叫做二次根式.
(1)√a (a≥0)表示a的算术平方根;
(2)a可以是数或式,但a一定要大于等于0;
(3)双重非负性:a≥0,√a≥0.
2、二次根式有意义的条件:被开方数大于等于0.
3、最简二次根式:满足下列三个条件的二次根式,叫做最简二次根式.
(1)被开方数的因数是整数,因式是整式,如2√3,√x(x≥0)是,而√0.5就不是;
(2)被开方数中不含能开得尽方的因数或因式,如√8,√27就不是;
(3)分母不能含有根号,如2/√5就不是.
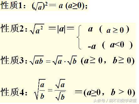
4、二次根式的性质:

【考点2】二次根式的运算
1、加减运算:二次根式加减时,先将各二次根式化成最简二次根式,再将被开方数相同的二次根式进行合并.如:2√3-√27 5√12=2√3-3√3 10√3=(2-3 10)√3=9√3.
2、乘除运算:(1)√a·√b=√ab (a≥0,b≥0);

3、混合运算:二次根式的混合运算顺序与实数的运算顺序相同,有理数的加法交换律、加法结合律、乘法交换律、乘法结合律、乘法的分配律以及多项式的乘法公式,都适用于二次根式的运算.
【考点3】二次根式的估值
(1)先对根式平方;(2)找出平方后所得数字相邻的两个开得尽方的整数;(3)对以上两个整数开方;(4)确定这个根式的值在这两个整数之间.
如对√7进行估值,(√7)^2=7,和7相邻的两个开得尽方的整数是4和9,√4=2,√9=3,则2<√7<3.
注意:要熟记一些常见的二次根式的值,如√2≈1.414,√3≈1.732,√5≈2.236,它们在试题中经常用到.
【考点4】同类二次根式
把几个二次根式化为最简二次根式之后,如果被开方数相同,那么这几个二次根式叫做同类二次根式.
注意:(1)同类二次根式类似于整式的同类项,如5√2和3√2是同类二次根式;
(2)几个同类二次根式在没有化简之前,被开方数可以互不相同,如√0.5,√8,√18都是同类二次根式;
(3)判断两个根式是否是同类二次根式,首先要把它们化成最简二次根式,然后再看被开方数是否相同.
【配套练习】

答案:

,
-
- 地藏菩萨圣号除一切灾厄(万罪消灭万福来临)
-
2023-07-31 22:22:51
-
- 苹果ios 16更新好还是不更新好(苹果iOS16升级名单来了)
-
2023-07-31 22:20:47
-
- 摩托罗拉a系列大全(3G时代的摩托罗拉A925大恐龙你肯定没见过)
-
2023-07-31 22:18:42
-
- 地坪漆的施工方法简介(地坪漆施工工艺流程)
-
2023-07-31 22:16:37
-
- 冬冠杯王者荣耀总决赛2022fmvp(狼队Fly获吉尼斯世界纪录认证)
-
2023-07-31 22:14:32
-
- 店铺橱窗设计方案(店面橱窗设计橱窗店面尺寸)
-
2023-07-31 22:12:27
-
- 饿了么王牌美食节(好吃佬注意了517吃货节来啦)
-
2023-07-31 14:16:18
-
- 单相电机电容接线图及接线讲解(单相电机接线和电容选择)
-
2023-07-31 14:14:13
-
- 老板抽油烟机官网旗舰店(老板牌抽油烟机专卖店)
-
2023-07-31 14:12:08
-
- 初中英语单词表大全可打印(初中英语单词表2182个)
-
2023-07-31 14:10:04
-
- 吃什么预防老年斑最有效的方法(坚持做到这四点)
-
2023-07-31 14:07:59
-
- 苹果ios15.4正式版加入了哪些表情 苹果iOS15测试版赶紧尝试下这些全新拟我表情
-
2023-07-31 14:05:54
-
- 罕见高温要持续多久(我国高温事件已持续30天)
-
2023-07-31 14:03:49
-
- 面部除皱效果最好的方法(最全面12种常用的面部除皱方法)
-
2023-07-31 14:01:44
-
- 防盗器的原理及安装(家用防盗器防盗系统解决方案)
-
2023-07-31 13:59:39
-
- 单县方言称呼(这才是单县话的精髓)
-
2023-07-31 13:57:34
-
- 鲍鱼的清洗方法做法(唯有爱与美食不可辜负)
-
2023-07-31 13:48:00
-
- 红米2怎么样值得入手吗(行情红米2售价630元起)
-
2023-07-31 13:45:55
-
- windows系统镜像在哪下(Windows系统镜像全在这里)
-
2023-07-31 13:43:50
-
- 红旗渠中林捷的原型现在怎么样了(红旗渠中顾秀芳的原型郭秋英)
-
2023-07-31 13:41:45



玄幻小说完结巅峰之作排行(2023十大完结巅峰神作)
微量元素有多少种 查微量元素,不要想当然(健康直通车(第67站))