双生子佯谬,一个至今仍有人误解的相对论问题(二)
双生子佯谬,一个至今仍有人误解的相对论问题(二)
双生子佯谬:一对双胞胎,哥哥弟弟于地球分手,哥哥搭乘亚光速火箭去太空走一遭,最终返回地球与弟弟重逢,试问二者年龄谁更年轻?

承接上文双生子佯谬,一个至今仍有人误解的相对论问题(一),本文将对该问题中大家最关心的兄弟二人年龄给出简明扼要的计算与分析过程,以及介绍一下现实世界中科学家做的双生子佯谬的验证。
通过前面两篇文章的铺垫,我们清晰的认识到双生子佯谬仅仅是一个狭义相对论问题,如果归为一句话,那就是这个问题中兄弟二人全时刻都处于平直时空,即时空不弯曲,那么就是狭义相对论的范围。
先从一直处于地球这个惯性系中弟弟的角度来分析,并给出为什么无需再从哥哥的角度去分析的原因。
首先我们考虑实际情况,哥哥搭乘的火箭必定不可能时刻处于匀速状态,虽然很多文章中提到加减速过程很短暂可忽略,但个人认为忽略是不合理的,退一步来讲,因为加减速过程时间很短就将其忽略,但不要忘了时间越短也就意味着加速度越大。
因此为了贴合实际,我们将条件改为火箭拥有一个均匀的加减速过程,即火箭内部测出的加速度数值时刻恒定,这样一来火箭就不要再极短的时间内承受过大的加速度(内部人员也不会有什么生命危险)。

我们假设哥哥的这趟太空旅行是指去距离地球254万光年的仙女星系玩一圈再回来,而火箭的运行模式将改为四个阶段,第一阶段以加速度正好为地表重力加速度的数值进行加速,第二阶段以同样的数值进行减速,保证最后抵达仙女星系时的速度刚好为零(可以看出第一阶段和第二阶段就是将去时的路程一分为二)。而第三第四阶段和刚才两阶段一样,只是改变一下方向,从仙女星系出发返回地球。
条件设好了,但有些朋友却指出了一点疑惑,虽然在弟弟这个惯性系中,哥哥在运动,但这个运动并非匀速啊,我看过很多篇介绍狭义相对论的文章,都没见过怎么用狭义相对论去分析变速运动。

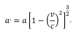
这一点不要担心,理论上只要时空是平直的,我们就能用狭义相对论,更不用说处于惯性坐标系中的变速运动了。我们或许已经知道了狭义相对论中的速度变换公式,但实际上洛伦兹变换同样可以给出加速度变换(这个推导方法不止一种)结果如下

其中a是火箭内部测出的加速度(其数值一直不变),“a,”是弟弟所在惯性系测得的加速度,可以发现随着火箭速度不断上升,弟弟测出的火箭加速度却一直在变小,这也间接说明了,即便火箭自认为自己再不断加速,但对于弟弟而言,火箭永远不能达到光速。
并且要注意,动钟变慢效应仍旧存在于变速运动中,下面给出弟弟和哥哥在这个过程中各自固有时(比如各自身上携带的钟表)的联系

其中T是弟弟的固有时,t是哥哥的固有时,s是第一阶段走的路程(即127万光年)
具体计算给出的答案是:哥哥在离开地球——达到仙女星系——返回并抵达地球,这个过程中:
哥哥自身的时间流逝了大约57年,也就是说哥哥返回地球时,已经成为了一个老人,不过哥哥却惊奇的发现,弟弟早已离世,因为地球上已经过去了约508万年。
可见在弟弟角度看来,哥哥确实比自己年轻。但是这个结论从哥哥角度来看也成立吗?答案是肯定的,以下面的时空图为例

其中纵轴代表时间,横轴代表空间,由于弟弟始终为惯性系,因此弟弟的世界线为竖直的(与纵轴重合);而哥哥始终为非惯性系,因此其世界线为图中的曲线。
这种讲解方式为相对论的几何语言,在这套体系中,线长代表固有时,并且线长大小的比较并不是咱们直观所见曲线长于直线,恰恰相反,直线要长于曲线(这是其特殊的计算规则决定的);还有一点非常重要,线长代表的固有时是一个不变量,也就时不随参考系的变化而变化,因此从弟弟角度得出来的结论,即便放到哥哥的角度,同样也会成立。
这一点我们甚至可以通过立足于哥哥的非惯性系去计算出来,哥哥所在的坐标系将采用Rindler坐标系,繁杂的过程不给了,但结果并不会和上述方法有任何差异,因为固有时是个不变量,如果结果有差异,只能说明计算出错了,因为我们也就没必要吃力讨好非在哥哥的角度去计算这个问题。

闵可夫斯基
当然了,关于刚才提到的几何语言,这里也不会细讲下去,否则本篇文章字数就太多了,本来双生子佯谬这个问题,我只想写一篇文章的,结果发现这已经是第三篇了(如果仔细写的话,还能再写两篇),倒不如去开个专栏文章了。
还有就是上篇提到了科学家做的双生子佯谬,可以详见这篇文章1971年,四台铯原子钟的环球飞行,验证相对论的准确性,不过这个实验严格来说算不上狭义相对论,因为理论过程中涉及了地球这个弱引力场(如下图),但这并不妨碍我们对双生子佯谬的正确理解,毕竟广义相对论包含狭义相对论。

刚才链接里的文章末尾提到了相对论在GPS里的应用,所以下篇文章就打算详细的谈一下关于相对论对GPS时间修正,因为不少科普文章都采用了错误的说法(或者说从科普角度,这样的说法是最合适的),虽然结果的精确度还是很高。

总的来说,双生子佯谬的结论就是:太空旅行的那位兄弟,年龄会更加年轻。并且这个问题利用狭义相对论就能得到完美的解决,不论是定性还是定量的结论,都不存在什么逻辑不清的地方。
本篇文章的内容到此结束。
谢谢各位阅读!
以后还会不断更新精心准备的通俗科普长文
本文由赛先生科普原创,欢迎关注,带你一起长知识!
-
- 黑色大衣的25个搭配方法,美炸了!
-
2025-03-29 22:14:40
-
- “发财并不难”之技巧篇1-套利、打新
-
2025-03-29 22:12:24
-
- 古茗的加盟商真比蜜雪冰城的赚得多?
-
2025-03-29 22:10:09
-
- 南京邮电大学考研难吗?一起来看
-
2025-03-29 22:07:53
-
- 蛮荒故事-六个简单粗暴的故事
-
2025-03-29 09:42:08
-
- NBA2019-2020赛季投手排名出炉,前MVP倒数第一?让人尴尬!
-
2025-03-29 09:39:52
-
- 叶罗丽第八季,王默的这几个尊贵身份,有几个是真的?
-
2025-03-29 09:37:36
-
- 一次普通的出游,坚定了孔子离开卫国的决心,究竟发生了什么?
-
2025-03-29 09:35:21
-
- 烟台海边出现大量骷髅虾!
-
2025-03-29 09:33:05
-
- 成都这条酒吧街,白天小众拍摄地,晚上热闹非凡,不输小酒馆
-
2025-03-29 09:30:49
-
- 《叶罗丽》不同款式的冰公主,动画高冷,漫画精致,我选最后一款
-
2025-03-29 09:28:34
-
- 中国古代医生概览
-
2025-03-29 09:26:18
-
- 一个口诀搞定现金流量表编制方法
-
2025-03-29 09:24:03
-
- 热刺边锋小卢卡斯流年不利,两年前欧冠逆转奇迹缔造者已失去主力位置,或许只
-
2025-03-29 09:21:47
-
- 世界民族之帝国兴衰—盎格鲁撒克逊人
-
2025-03-28 17:21:42
-
- 《射雕》原著:黄老邪做事“邪门”,却是个实实在在的爱国者
-
2025-03-28 17:19:27
-
- 新加坡-弹丸之地,却是发达国家,实力不容小觑!
-
2025-03-28 17:17:11
-
- 童年经典回忆-《熊出没》所有影片
-
2025-03-28 17:14:56
-
- 秦皇岛—玩水、看美景去哪里?这七个必去的地方,你都去对了吗?
-
2025-03-28 17:12:40
-
- 朱一龙饰演的沈巍被奉为粉丝心中的白月光,这个角色到底绝在哪?
-
2025-03-28 17:10:24



芬兰人为什么是黄种人,为什么地处北欧的芬兰人长得像中国人
南宁铁路局集团领导班子成员